Në një postim në rrjetet sociale, ai shkroi se ky është një hap i rëndësishëm në forcimin e pasaportës shqiptare dhe në promovimin e imazhit të Shqipërisë në arenën ndërkombëtare “Qytetarët shqiptarë mund të udhëtojnë pa viza në 99 shtete, kjo falë bisedimeve të pandërprera dhe nënshkrimit të marrëveshjeve me disa shtete, së fundmi edhe me Tajlandën.
Ky është një hap i rëndësishëm në forcimin e pasaportës shqiptare dhe në promovimin e imazhit të Shqipërisë në arenën ndërkombëtare.
MEPJ do të vazhdojë punën për forcimin e pasaportës shqiptare kudo në botë”, shkroi ai.
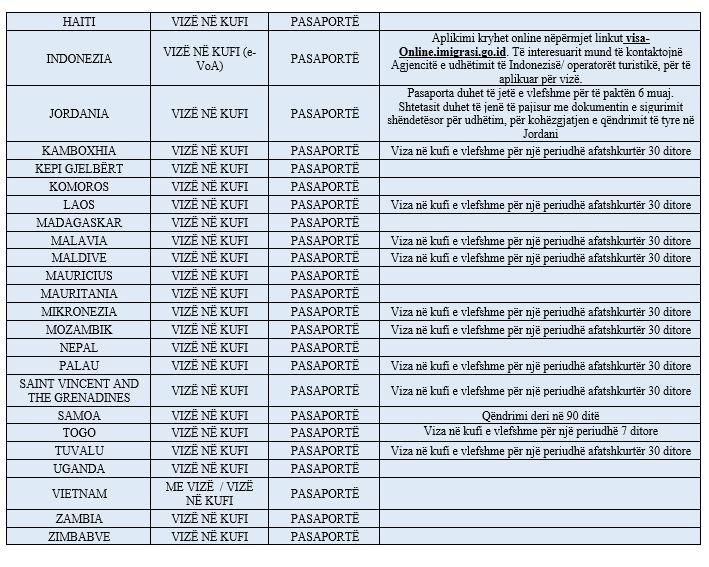
Lista e plotë e shteteve ku mund të udhëtohet pa viza:










