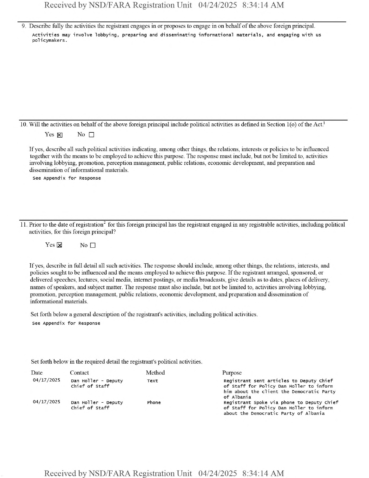
Prokuroria e Posaçme Kundër Korrupsionit dhe Krimit të Organizuar ka njoftuar se ka nisur një hetim lidhur me një kontratë lobimi të nënshkruar nga Partia Demokratike.
Në një deklaratë për mediat, zyra e shtypit e SPAK sqaron: “Ju informojmë se Prokuroria e Posaçme ka filluar verifikimet në lidhje me kontratën e lobimit të Partisë Demokratike.”
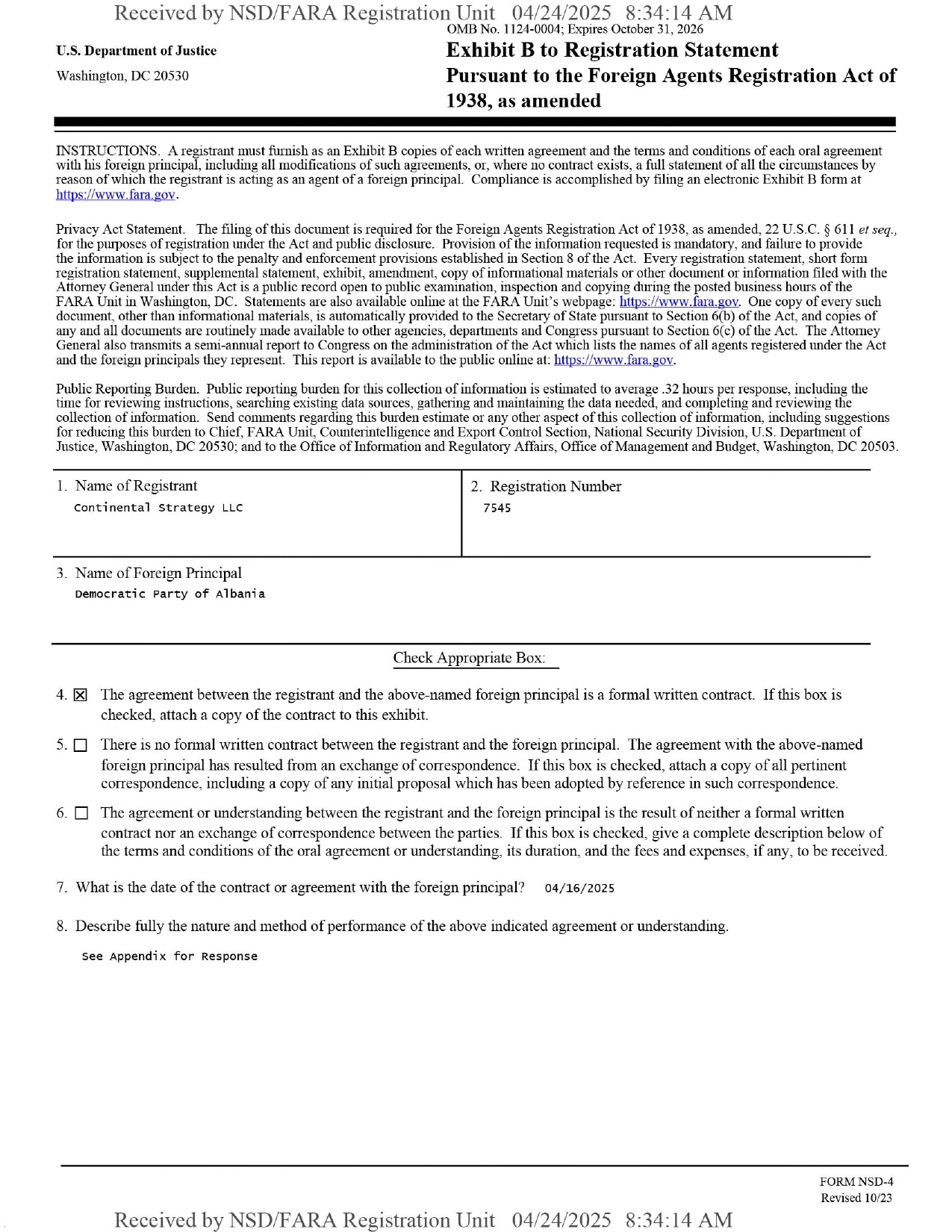
Ky reagim erdhi një ditë pas shpërndarjes së lajmit për një kontratë lobimi prej 6 milionë dollarësh, të nënshkruar nga Partia Demokratike me një kompani në Uashington DC, me një periudhë dyvjeçare.
Sipas dokumenteve, kontrata është firmosur më 4 prill nga sekretari i përgjithshëm i PD-së, Flamur Noka, ndërsa si garant në SHBA është një individ i quajtur Nuredin Seçi.
Kjo është kontrata e dytë e këtij lloji që Partia Demokratike firmos në një periudhë të shkurtër.
Por në një sqarim, zyra e shtypit te PD tha më herët se ky është një kontribut financiar i shqiptarëve që prej vitesh jetojnë dhe punojnë në SHBA.
Reagimi i plotë i PD (26 prill)
Komuniteti shqiptaro amerikan përmes fondacionit “Make Albania Great Again” ka kontraktuar kompaninë “Continental” për te ndihmuar ne konsolidimin e marrëdhënieve miqësore te Partisë Demokratike si forca me e madhe opozitare me Kongresin dhe Qeverinë e SHBA. Synimi i bashkatdhetarëve tanë në SHBA është bashkëpunimi i PD me aleatin kryesor te Shqipërisë për te rivendosur demokracinë funksionale dhe shtetin e te drejtës ne Shqiperi.
Kompania “Continental” drejtohet nga Ambasadori Carlos Trujillo i cili njihet gjithashtu dhe si avokat i Presidentit Trump dhe si antikomunist i palekundur ne qëndrimet e tij!
Kontributi financiar për realizimin e këtij qëllimi është marre përsipër 100% nga patriote shqiptare qe jetojnë dhe punojnë prej dekadash ne SHBA si dhe demokrate te tjerë te larguar nga Shqipëria këto 10 vite për shkak te regjimit te Edi Rames!
Partia Demokratike duke falenderuar demokratet antikomuniste te komunitetit shqiptaro – amerikan për bujarinë dhe e patriotizmin e tyre sqaron opinionin publik se ndonëse ka dhënë dakordesine për marrjen e këtij shërbimi ne përputhje te plote me ligjet e te dy vendeve, nuk ka asnjë barre financiare apo detyrim kontraktual qe lind nga kjo marrëveshje.



























